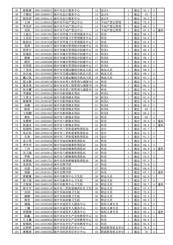
2023年江蘇鎮(zhèn)江揚中市事業(yè)單位招聘資格復(fù)審?fù)ㄟ^名單
相關(guān)推薦
點擊排行
線上報名


